來源:彈簧百科 發布時間:2021-11-02 21:27:20
彈簧系統受迫振動的振幅 精密彈簧生產

圖1-6為機器設備或車輛的減振彈簧系統。為了檢驗彈簧減振效果和分析彈簧的受力,則需要計算彈簧系統的振幅。
當彈簧系統的振動體受到激振力Fsinω,t的作用(圖1-6),或其支承(彈簧的固定端)受到激振位移 Fsinω,t 的作用時,其受迫振動可表示為
x=∫a.sin(ωr,-φ)
式中
∫a—受迫振動的振幅;
φ—振動體位移與激振函數之間的相位差。
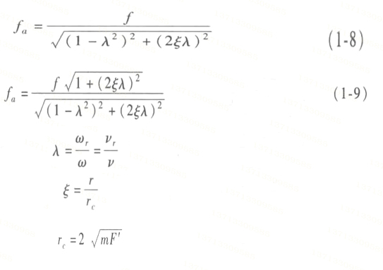
受迫振動的振幅∫max與所使用阻尼的大小和類型有關。對于黏性阻尼,設其阻尼力為Fsin當振動體受到激振力 Fsinωrt 作用時,其振幅為(1-8)

當支承彈簧的固定端受到激振位移Fsinω,t的作用時,振動體的絕對振幅為(1-9)
式中
f—在與激振力幅值Fa相等的靜力作用下系統的靜變形;
λ—系統頻率比;
ω和υ—系統的自振角頻率和頻率;
ζ—系統的阻尼比;
r—系統的阻尼系數;
rc—系統的臨界阻尼系數;
F'—彈簧的剛度。

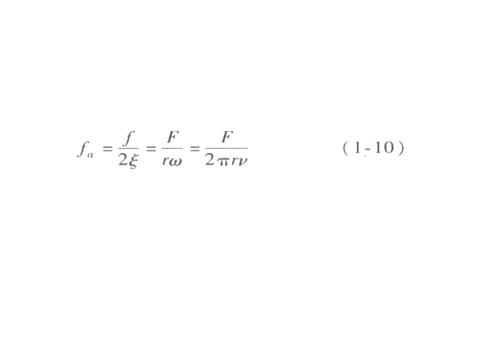
由圖1-7可以看出,當λ=vr/v≈1時,振幅急劇增大,這就是共振現象。在共振區附近,振幅的大小主要取決于阻尼的大小,阻尼越小,振幅越大。共振時的振幅,由式(1-8)可知為(式1-10)

如阻尼甚小,則共振振幅將很大。
當λ=vr/v與1有一定的距離之后,振幅急驟下降,阻尼的影響也隨之減小。當λ>√2,即v/vr√2時,振幅fa小于靜變形f,這也就是防振的理論基礎。